发布时间:2023-11-27 浏览次数:582
巴基斯坦一研究团队,以Abbott m2000 RealTime System为参考方法,使用去标识化的患者样本以及CAP能力验证剩余样本,对cobas® HBV PCR及cobas® HCV PCR高通量病毒载量检测的分析性能各项指标进行验证,本研究所采用的验证方案以CLSI EP9-A2、CLSI EP15-A的相关要求为参考,对检测的正确度、精密度、检测限、线性范围及交叉污染进行验证。
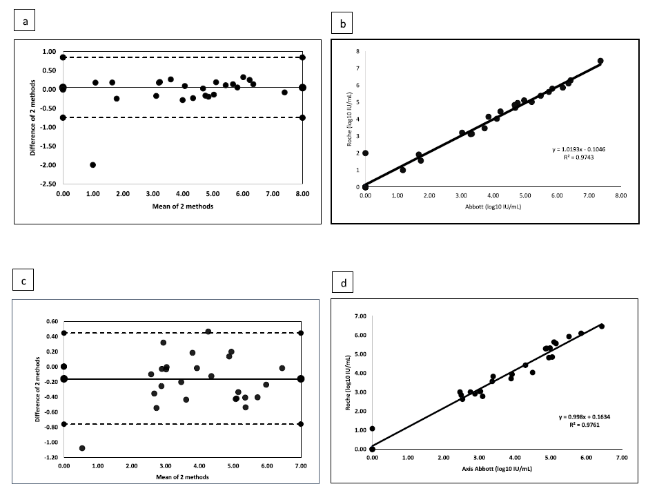
分析正确度
回归方程、Bland Altman分析
精密度
变异系数、方差分析
检测限
概率分析
线性范围
多项式拟合方程
图一:性能验证-样本说明
|
Abbott m2000 |
HBV DNA(例) |
HCV RNA(例) |
|
Positive |
21 |
25 |
|
LLOQ |
2 |
- |
|
Negative |
12 |
13 |
|
total |
35 |
38 |
分析结果如图所示:
1.正确度
2.精密度
3.检测限

4.线性范围

5.交叉反应
交叉反应因样本量较少,未完成验证
图1:国内外性能验证相关文件
中国合格评定国家认可委员会在2019年2月15日发布CNAS GL-09《分子诊断检验程序性能验证指南》,是对CNAS-CL02:2012《医学实验室质量和能力认可准则》以及CNAS-CL02-A009《医学实验室质量和能力认可准则在分子诊断领域的应用说明》中有关分子诊断相关检测程序进行性能验证试验所作的具体解释和指导,是CNAS首次在分子诊断实验室领域给出的具体工作指南。本指南适用于PCR、Sanger测序、二代基因测序(NGS)及原位杂交等检测程序,其他分子诊断检验程序/方法也可参考。
性能验证时机
CNAS-GL039明确规定了性能验证的时机,即检验程序常规应用前;任何严重影响检测系统分析性能的情况发射后,应在检测系统重新启用前对受影响的性能进行部分性能验证;常规使用期间,实验室可基于分析系统的稳定性,利用日常工作产生的检验和质控数据,定期对检验程序的分析性能进行评审,应能满足检验结果与用途的要求。
性能验证的参数要求
根据CNAS-GL039对PCR定性和定量检测、Sanger测序、二代基因测序和原位杂交的性能参数分别进行描述。
PCR定量检测
PCR定量检测选择验证的性能指标宜包括测量正确度、测量精密度(含测量重复性和测量中间精密度)、检出限和定量限、线性区间(可报告区间)等;
PCR定性检测
PCR定性检测宜选择的性能指标包括方法符合率、检出限、抗干扰能力、交叉反应等;
Sanger测序和NGS
Snager测序和NGS选择的性能验证指标宜包括方法符合率和检出限等;
原位杂交
原位杂交技术应依据样本类型和预期用途,选用适宜的性能指标进行验证,如基于完整细胞的原位杂交宜选用分析敏感性和特异性,基于组织的宜选用方法符合率。
电话:010-69436691 / 13051159587
企业邮箱:smjh-sales@zgcsm.cn
公司地址:北京市北京经济技术开发区博兴五路10号1幢4层418、419
微信公众号
添加微信
北京水木济衡生物技术有限公司 (C)2022-2023 京ICP备2021004626号-1